11/04/2023
Realizzazione di impianto ventilazione meccanica locali laboratorio cottura ristorante rione Monti in Roma. L'impianto ha una portata totale di circa 20.000 Nmc/h con mitigazione olfattiva ed acustica. Impianto con portata variabile coniugata fra estrazione e reintegro.
Testato il sistema di controllo della portata aria presso la Banca d'Italia su impianto con circuiti aeraulici in estrazione aria di processo macchina da stampa, COV e smaltimento calore. Il sistema prevede il mantenimento della portata al variare della perdita di carico dei filtri tra inizio e fine vita. E' stato utilizzando un pannello operatore HMI da 4" touchscreen, ed utilizzate le dotazioni PLC native dell'inverter H100 prodotti LS electric con sviluppo sistemistico da parte della divisione Italiana. Impianto costituito da 3 nuovi circuiti aeraulici ognuno della propria struttura di controllo dotata anche di sistema di backup manuale e servizio emergenza. https://www.fantech.biz/blog-news/flowrate-controller-tested
Laboratorio per la cottura della carne con combustibile solido, trattamento degli effluenti di combustione e dei vapori di cottura. Portata aria impianto nominale totale 30.000 Nmc/h temperature fluidi trattati 20-200°C.
Realizzazione di impianto ventilazione meccanica per i locali produttivi per un ristorante nel quartiere della dolce vita in Roma. Aria trattata per circa 35.000 mc/h. Locali cottura dotati di soffitto aspirante con circa 24.000 mc/h trattati . Circuito di esalazione vapori di cottura con eliminazione delle nebbie oleose (demisting) e del particolato sottile. Circuito di reintegro aria esterna con filtrazione particolato sottile e trattamento termico. Potenza elettrica destinata alla ventilazione meccanica 48 kw @400v. Mitigazione acustica di tutti i circuiti aeraulici .
Realizzazione di impianto ventilazione meccanica locali produttivi ristorante nel tridente storico in Roma. L'impianto ha una portata di 7.000 mc/h in estrazione e un reintegro di aria estratta con aria esterna divisa in ambiente e controcappa filtrata e trattata termicamente per circa 6.000 mc/h. Estrazione filtrata per mezzo di unità per nebbie oleose demister, aria esterna filtrata per le polveri sottili. Mitigazione acustica circuito di esalazione e presa aria esterna.
Desing & procurement per impianto ventilazione meccanica locali laboratorio cottura ristorante orientale zona Veneto Roma. Portata aria totale trattata 20.000 mc/h. mitigazione acustica circuiti aeraulici.
Impianto in fase di modellazione a servizio delle attività di laboratorio nel comune di Roma. Portata di estrazione totale ed emissione in atmosfera cappe cottura e lavaggio 5.500 Nmc/h , portata immissione aria esterna in ambiente 4.500 mc/h.
Impianto ventilazione meccanica laboratorio cucina Roma centro storico. Progettazione esecutiva 3D, simulazione fluidodinamica per la rilevazione della rumorosità.
Realizzazione di impianto ventilazione meccanica locali laboratorio cottura ristorante in centro storico in Roma. L'impianto ha una portata di 12.000 mc/h in estrazione e un reintegro di aria estratta con aria esterna filtrata e tratta per circa 10.000 mc/h.
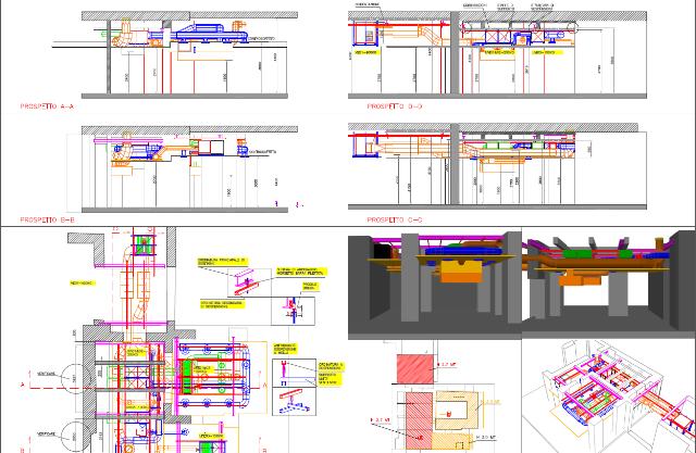
Modello virtuale 3D dell'impianto in fase di costruzione della cucina ristorante Hotel in provincia di Roma. Portata di estrazione totale ed emissione in atmosfera cappe cottura e lavaggio 12.000 Nmc/h , portata immissione flusso di bilanciamento controcappe 5000 Nm/h, immissione aria esterna in ambiente 5000 mc/h. Prestazione impianto ventilazione meccanica 40 vol/h. Potenza installata totale 10,5 kw. Rumorosità al camino di emissione < 60 dB(A) .
Impianto ventilazione meccanica zone produttive e climatizzazione. L'impianto di climatizzazione è stato progettato escludendo ogni forma di ricircolo. Utilizzo di sola aria esterna per le macchine di climatizzazione , con recuperatori di calore ad alta efficienza, ERP compliance, con rendimenti >90% . In accordo con le raccomandazioni Istituto superiore di sanità e raccomandazioni AICARR, per ambienti sicuri destinati all'ospitalità, secondo lo sviluppo VentOsan project.
Revamping impianto di ventilazione meccanica di processo stampa flessografica. Filtrazione polveri, adsorbimento COV mitigazione acustica e controllo delle portate d'aria con gestione delle ridondanze in servizio di emergenza. Portata aria trattata totale 18.000 Nmc/h.




